Home · Contoh Bentuk · Postingan Terbaru · Sitemap ·

Contoh Soal Bentuk Aljabar Kelas 7

Kumpulan lengkap Contoh Soal Bentuk Aljabar Kelas 7.

Contoh Soal Operasi Aljabar Jumlah Kurang Kali Bagi Pangkat

Matematika Kelas 7 Cara Menyelesaikan Operasi Perpangkatan Pada

Operasi Bentuk Aljabar Belajar Matematika

Modul Aljabar Smp Kelas Vii

Rumus Penjumlahan Aljabar Dan Pengurangan Aljabar

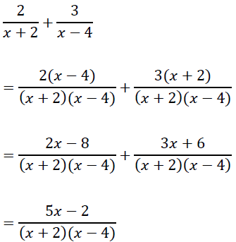
Penjumlahan Dan Pengurangan Pecahan Aljabar

Operasi Hitung Bentuk Aljabar Contoh Soal Tentukan Hasil

Doc Faktorisasi Aljabar Nur Halimah Academiaedu

Ruang Belajar Siswa Kelas 6 Contoh Soal Operasi Aljabar

Bentuk Aljabar Materi Matematika Kelas 7 Smp Nusa Caraka

Pecahan Dalam Bentuk Aljabar

contoh soal bentuk aljabar kelas 7 Bentuk ialah satu titik temu antara ruang dan massa.Bentuk juga merupakan penjabaran geometris dari bagian semesta bidang yang di tempati oleh objek tersebut, yaitu ditentukan oleh batas-batas terluarnya namun tidak tergantung pada lokasi (koordinat) dan orientasi (rotasi)-nya terhadap bidang semesta yang di tempati.

Itulah informasi tentang contoh soal bentuk aljabar kelas 7 yang dapat admin kumpulkan. Admin blog Berbagi Bentuk 2019 juga mengumpulkan gambar-gambar lainnya terkait contoh soal bentuk aljabar kelas 7 dibawah ini.

Matematika Kelas 7 100institute

Pembahasan 4 Soal Bentuk Aljabar Smp Kelas 7 Sekolah Matematika

Soal Uh Mtk Smp Kelas 7 Bab Operasi Hitung Bentuk Aljabar Semester 1

Bentuk Aljabar Operasi Perkalian Dan Pembagian Lailatuth

Bagaimana Menyelesaiakan Operasi Pecahan Bentuk Aljabar Rumus

821 Soal Dan Pembahasan Pemfaktoran Bentuk Aljabar Matematika Slt

811 Soal Dan Pembahasan Operasi Hitung Bentuk Aljabar Matematika

Lampiran 1 Instrumen Penelitian

Contoh Soal Aljabar Dan Penyelesaiannya Kelas 7 Mode Pemasaran

Matematika Kelas 8 100institute

Contoh Soal Menyederhanakan Bentuk Aljabar Kelas 7 Mode Pemasaran

Penyelesaian Bentuk Bentuk Aljabar

Itulah yang admin bisa dapat mengenai contoh soal bentuk aljabar kelas 7. Terima kasih telah berkunjung ke blog Berbagi Bentuk.


0 Response to "Contoh Soal Bentuk Aljabar Kelas 7"

Post a Comment