Bentuk Laporan Arus Kas Metode Langsung

Informasi mengenai Bentuk Laporan Arus Kas Metode Langsung.

Laporan Arus Kas Kelompok 07 Itb Seamolec

Perbedaan Metode Penyusunan Laporan Arus Kas Secara Langsung Dan

Memahami Logika Laporan Arus Kas

Arti Pentingnya Laporan Arus Kas Pada Suatu Perusahaan Oleh

Contoh Laporan Arus Kas Metode Langasung Dan Tidak Langsung

Contoh Laporan Arus Kas Metode Langsung Dan Tidak Langsung

Contoh Soal Laporan Arus Kas Perusahaan Jasa Dengan Metode Langsung

Apa Yang Dimaksud Dengan Laporan Arus Kas Atau Cash Flow Statement

Format Laporan Arus Kas Perusahaan Manufaktur Materi Akuntansi

Metode Penyusunan Laporan Arus Kas Secara Langsung Dan Tidak Langsung

Ppt Bab 12 Laporan Keuangan Perusahaan Jasa Powerpoint

bentuk laporan arus kas metode langsung Bentuk ialah satu titik temu antara ruang dan massa.Bentuk juga merupakan penjabaran geometris dari bagian semesta bidang yang di tempati oleh objek tersebut, yaitu ditentukan oleh batas-batas terluarnya namun tidak tergantung pada lokasi (koordinat) dan orientasi (rotasi)-nya terhadap bidang semesta yang di tempati.

Itulah informasi tentang bentuk laporan arus kas metode langsung yang dapat admin kumpulkan. Admin blog Berbagi Bentuk 2019 juga mengumpulkan gambar-gambar lainnya terkait bentuk laporan arus kas metode langsung dibawah ini.

Laporan Arus Kas Metode Langsung Lintas Materi

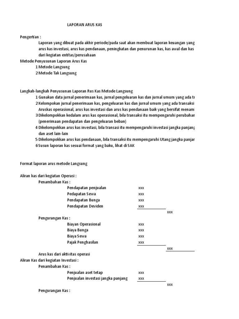
Format Laporan Arus Kas

Memahami Logika Laporan Arus Kas

Cara Mudah Membuat Laporan Arus Kas

Cara Sederhana Mudah Membuat Laporan Arus Kas Update 2019

Laporan Arus Kas Pengertian Cara Tujuan Dan Contoh

Cara Mudah Membuat Laporan Arus Kas

Laporan Arus Kas 2

Ada Apa Dengan Laporan Arus Kas Aadlak Abu Maisan

6 Contoh Laporan Arus Kas Perusahaan Dagang Dan Jasa

Perbedaan Laporan Arus Kas Metode Langsung Dan Tidak Langsung

Elemen Laporan Arus Kas

Itulah yang admin bisa dapat mengenai bentuk laporan arus kas metode langsung. Terima kasih telah berkunjung ke blog Berbagi Bentuk.


Subscribe to receive free email updates:

0 Response to "Bentuk Laporan Arus Kas Metode Langsung"

Post a Comment